蘑菇成视频yh人入口
联系人:沈老师
电话:13696787665
地址:合肥市蜀山区天狮路588号MAX科技园一期10幢1001室
漫反射白板&漫反射灰板
采用反射率高、惰性好的聚四氟乙烯材料制作,具有优异的漫反射特性。通过对漫反射参照体/目标的空间反射分布特性测量,为终端用户提供产品方向-半球反射比DHR(directional hemisphere reflectance)和双向反射比因子BRF(bidirectional reflectance factor)的定量化参数。
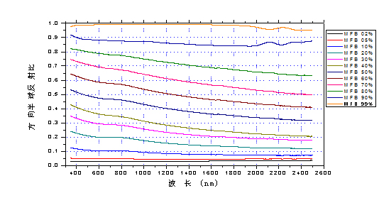
●方向-半球反射比(@550nm):2%;5%;10%;20%;30%;40%;50%;60%;70%;80%;90%;99%;
●光谱范围: 350nm~2500nm;
●反射比因子角度范围:10°~75°;
● 溯源至中国国家计量院(NIM);
●化学性质稳定,可靠耐用,提供铝制包装箱,方便运输及存储;
●产品规格:250mm×280mm;400mm×400mm;500mm×500mm;1000mm×1000mm;1200mm×1200mm
*备注:结构形式及支架可定制,可提供解决方案。
图1 不同反射率漫反射板
图2 野外检测5英寸漫反射标准参照板( 烧制)
图3 波长-方向半球反射比曲线
波长校准标准板
适合分光光度计、反射率计及其他光谱仪器产品的波长校准。提供峰值吸收波长校准数据,溯源至中国计量科学研究院(NIM)。
波长板产品规格:Φ50 mm。
*支持定制尺寸
图4 Ø50mm漫反射波长标准参照板
图5 波长板吸收峰曲线
漫反射颜色标准板
漫反射颜色标准板可为航空成像系统、相机进行色彩校正并提供解决方案;也可为纺织品、油漆、医药品、造纸等企业提供高稳定性、可重复反射率的颜色参考样板。
●提供各种颜色标准板的光谱反射率、色度坐标、三刺激值、CIELAB值、CIELUV值及UCS坐标
●近似朗伯体,消除观测角度不同带来的误差
●稳定的反射率可帮助减小相关产品颜色误差
●持久耐用,防水易清洁
●多种尺寸可供选择,(支持定制,尺寸可至数十米)
●大面积布设,用于航空航天相机色彩校正
●多种颜色可供选择(24色)

图6 Ø50mm漫反射颜色标准板
图7 漫反射颜色标准板